|
摘要:本文详细介绍了检品复卷机(简称检品机)的工作原理,及其电气设计方案,以及艾默生EV6000变频器优异的张力性能,通过艾默生PLC与EV6000变频器的良好配合,大大简化了系统的设计方案,极大地提高了整个系统的可靠性和张力稳定性。 关键词:艾默生自动化产品 PLC 变频器 人机界面 检品复卷机 Abstract:This paper describes the working principle, and the electrical design of the inspection Winder, and the outstanding performance of the tension in EV6000 converter, by EV6000 and PLC of EMERSON, significantly Simplify the system design, thus greatly enhancing the overall system reliability and stability of tension control. Key words: Emerson Automatic production PLC converter HMI inspection Winder 一 引言 检品机是一种具有高精度、高灵敏度的复卷、检品设备。适用于卷筒状的印刷薄膜、复合薄膜及卷筒纸制品的印刷、涂布、复合后的全自动品质检验,也可用于上述材料的复卷,是印刷、涂布、复合等工序必不可少的检验设备。 二 系统选型设计 2.1触摸屏选型设计 本系统选用的是艾默生EZ600-TT06P型 5.7 寸触摸屏, 显示色彩为64K色,解析度为 320×240像素。 按键包括 1 个清单键和 5 个使用者定义的功能键。 此外还有三个 RS232、RS422 和 RS485 的通讯接口, 以及 2个 USB连接口。 內建的 CF 卡插槽可以让您扩充历史记录和配方,以及进行数据备份。 前盖为 IP65 等级,这样对于任何方向的低压水流沖洗,它都能提供保护效果。 2.2 PLC选型设计 系统选用了艾默生EC20-1614BRA可编程控制器,作为主控单元,主要用于实现的逻辑控制功能;外加一个EC20-4DA模拟量输出模块作为扩展模块,主要用于实现系统的线速度设定和张力给定功能。 EC20是艾默生推出的高性能小型PLC,具有极快的运算速度,和12K步的大程序容量,并且自带两个通信口,一个通信口用于与触摸屏通信,实现系统的参数设定与状态显示功能,另一个通信口用于与变频器通信,实现变频器运行状态的读取,以及参数设定功能,这样大大降低了用户成本。 2.3 变频器选型设计 系统选用了艾默生EV6000变频器,用于系统的驱动及张力控制功能。EV6000是艾默生最新推出的一款创新型平台产品,集自主研发的无速度传感器矢量控制的核心算法技术、伺服定位控制技术、EMC技术和可靠性技术的优势与一身,使之在性能上有了质的飞跃。 EV6000高性能矢量控制变频器拥有超大功率范围,可以从0.4到250kW之间进行选择,而它的最高输出频率也可高达1000Hz。EV6000可以实现无PG矢量控制和有PG矢量控制驱动永磁同步电机,而且在无PG矢量控制时,能在0.25Hz下可以满足200%额定负载突变时转矩能快速地响应和稳定运行,能满足众多低速大转矩应用要求,在变频低频脉动技术难题上迈出了一大步,处于国际领先水平。 三 系统介绍 3.1 系统原理介绍
 图一 系统原理图
(1) 触摸屏:通过触摸屏,用户可以对工作速度、运行张力、料卷直径等参数进行设置;并且,通过触摸屏,可以显示设备的当前运行状态,并对当前的故障信息进行显示,以便用户作进一步处理。 (2) EC20控制器:该控制器是艾默生公司的高性能控制器,它是整个系统的控制中心,协调外围设备的动作,并按用户设定的工艺控制设备的运作。通过EC20-4DA模块对变频器作张力给定和频率设定。 (3) 变频器:本系统采用EV6000变频器做收放卷控制,通过该变频器可保证检品机械的张力恒定、速度稳定,是整套系统的控制核心部分。 3.2控制流程图 3.2.1系统正常启停流程:
 图二 系统正常启停流程图
正常启停流程主要是用于用户查找产品缺陷,当发现缺陷时,用户通过按钮记录当前位置,以备查找;难点主要是在于加减速,以及零频时张力的控制。 3.2.2检查点启停流程:
 图三 检查点启停流程图
检查点流程主要是用于缺陷的查找,这也是该设备的最重要的功能之一,本系统是通过硬件中断的方法记录缺陷的位置的,所以,可以比较准确的发现缺陷的位置。由于本过程涉及到多次启停,而且在任何速度下都要保持张力稳定,所以对变频的张力控制性能要求很高。 3.3电气原理图
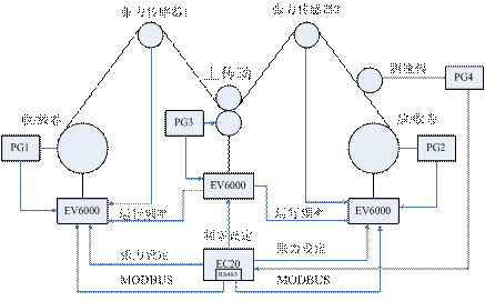
 图四 张力控制示意图
图四是整个系统的张力控制示意图,EV6000作为主驱动,控制整个系统的运行,EV6000张力控制用变频,驱动收/放卷电机,通过张力传感器反馈回来的张力的大小,做闭环控制,以保证整个系统的张力恒定、速度稳定。利用编码器与变频器作闭环控制,使变频器可以在高速度精度和恒张力下运行,同时PG3把信号送给EC20,由PLC计算当前的运行速度、距离等数据。PLC实现传动点的协调控制,逻辑控制处理。PLC实现线速度,运行命令传递到变频器,并收集变频器的运行状态。同时传递变频器参数修改信息。 选用EV6000张力控制专用变频器实现放卷和收卷控制,选用EV6000高性能矢量控制变频器实现主牵引控制。变频器以闭环矢量控制运行,安装脉冲编码器(PG),编码器信号类型:集电极开路输出型;收、放卷变频器工作于张力闭环速度模式,EV6000自带卷径计算功能和断带检测功能。 为了保证系统的快速起停要求,尤其是急停的技术指标。变频器都需外接制动电阻。
|