2025年11月14日
配天机器人2025年11月14日
TE2025年11月14日
西门子2025年11月14日
新时达2025年11月14日
蔡司工业
2025年11月13日
埃尔森
2025年11月10日
BBS
2025年11月07日
劳易测
2025年11月06日
和利时
2025年11月14日
威图
2025年11月14日
TE
2025年11月14日
KUKA
2025年11月14日
先导智能
2025年11月14日
TDK
一、引言
汽车驱动桥总成由主减速器、差速器、半轴等组成,是汽车传动系的重要组成部分。发动机功率通过变速箱、传动轴传递给驱动桥总成,实现降速,增大转矩后传递给车轮。主减速器是驱动桥的“心脏”,其早期损坏将严重影响驱动桥的使用寿命。主减速器早期损坏的形式主要有:齿轮副早期磨损、轮齿断裂、主动齿轮轴承早期损坏等。因此,进行驱动桥总成齿轮疲劳试验十分必要。
汽车驱动桥总成可靠性试验台分为两大类,一类为开式试验台,一类为闭式试验台。开式试验台加载后,功率大多消耗在吸功装置中,功率损失大,试验台能耗大,适用于小功率短期工作的实验装置。闭式试验台利用动力源补偿封闭系统内功率损耗部分,试验时能耗少。
动力装置的布置位置及功率流的方向都直接影响到系统的功率损失,合理地布置动力装置、及确定功率流的流向能将系统的损失功率控制到最低。
采用封闭式汽车驱动桥可靠性试验台并选用最优动力装置的布置方案能大大减小试验能耗,有效节约试验成本。
二、封闭式试验台试验原理
封闭式汽车驱动桥总成可靠性试验台结构如图1所示。它由主减速器1、4,辅助齿轮箱2、3、5以及加载装置构成一个封闭系统。通过加载装置加载封闭力矩,在整个封闭系统中各齿轮之间产生啮合力,由封闭系统外的动力装置(可布置在A、B、C、D、E、F六处)来完成整个系统的运转,并同时补充封闭系统中发热所产生的功率损失。此时,动力装置需消耗的能量仅占系统中的一小部分。
设封闭系统中进入主试主减速器的功率为试验功率P试,功率流以该处作为起点流向其它齿轮箱。系统损耗功率由动力装置来补充,补充功率为P动。当主减速器1为主试主减速器时,试验功率经过主试主减速器1后,分为两股,一股经由辅助齿轮箱2流向被试主减速器4,另一股经由辅助齿轮箱3流向被试主减速器4,二者在被试主减速器4汇集后流经辅助齿轮箱5后再度流回主试主减速器1。
当主减速器4为主试主减速器时,试验功率经过主试主减速器4后,分为两股,一股经由辅助齿轮箱2流向被试主减速器1,另一股经由辅助齿轮箱3流向被试主减速器1,二者在被试主减速器1汇集后流经辅助齿轮箱5后再度流回主试主减速器4,。
假设忽略系统内联接损失,η1、η4分别为主减速器1、4的传动效率,η2、η3、η5分别为辅助齿轮箱2、3、5的传动效率。下面分析以主减速器1、4分别为主试主减速器时动力装置的布置方案。
(一)主减速器1为主试主减速器,功率流的动力布置
设动力装置布置在A处,过主试主减速器1后输出功率为Pa Pb = P试η1;过辅助齿轮箱2后输出功率为Pc=Paη2;过辅助齿轮箱3后输出功率为Pd=Pbη3;过被试主减速器4后输出功率为Pe=(Pc Pd)η4;过辅助齿轮箱5后输出功率为Pf=Peη5+P动A=P试。
假定Pa=Pb,则 

依此类推,可以得出当功率流方向如图2所示时,动力装置分别布置.在B、C、D、E、F处时所需的功率,见表1。

若取η1=η2=η3=η4=η5=96%,设P试x=K,代入上表可得,P动A=;P动B=1.085K;P动C=1.130K;P动D=1.130K;P动E=1.085K;P动F=1.042K。其中,P动A值最小。因此,当主减速器1为主试主减速器,功率流方向如图2所示时,动力装置布置在A处时系统需要动力装置补充的功率最小。
(二)主减速器4为主试主减速器,功率流如图3所示时的动力布置
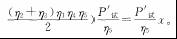
设动力装置布置在A处,过主试主减速器4后输出功率为P´a P´b=P´试η4;过辅助齿轮箱2后输出功率为P´c= P´aη2 ;过辅助齿轮箱3后输出功率为P´d=P´bη3;过被试主减速器1后输出功率为P´e=(P´c P´d)η1;过辅助齿轮箱5后输出功率为P´f=(P´e P´动A)η5=P´试。
假定P´a=P´b, 

依此类推,可以得出当功率流方向如图3所示时,动力装置布置在B、C、D、E、F处时所需的功率,见表2。

同样取η1=η2=η3=η4=η5=96%、P´试x=K´代入上表得,P'动A=1.042K';P'动B=1.130K';P'动C=1.085K';P'动D=1.085K';P'动E=1.130K;P´动F=1.000K´。其中,P´动F值最小。同理可知,当主减速器4为主试主减速器,功率流方向如图3所示时,动力装置布置在F处系统需要动力装置补充的功率最小。
四、结论
综上所述,当动力装置布置在功率流末端时,所需功率最小,能有效降低试验成本,提高经济效益。通常情况下,动力装置布置在减速箱的高速端,因此,当主减速器4为主试主减速器,功率流方向如图3所示时,动力装置布置在F处以及当主减速器1为主试主减速器,功率流方向如图2所示时,动力装置布置在A处时实际为相同的情况。因此,当减速箱5的高速端布置在图1所示左侧时,动力装置布置在A处时的系统损耗功率最小。