2025年11月14日
配天机器人2025年11月14日
TE2025年11月14日
西门子2025年11月14日
新时达2025年11月14日
蔡司工业
2025年11月13日
埃尔森
2025年11月10日
BBS
2025年11月07日
劳易测
2025年11月06日
和利时
2025年11月14日
威图
2025年11月14日
TE
2025年11月14日
KUKA
2025年11月14日
先导智能
2025年11月14日
TDK
一、前言
汽车线控转向系统将传统的转向系统分为两个独立的子系统,即驾驶员操作子系统(转向盘系统)和车轮转向驱动控制子系统(转向驱动控制机构),子系统之间通过总线相连。由于取消了作为连接传动的转向柱,两者之间没有直接的力传递,只有数据信号的传递。驾驶员操作转向盘的信号由传感器测出并处理,经总线送到转向驱动控制系统,控制并驱动车轮的转动;路面对车轮的反力以及车轮的转角通过车轮转向驱动控制系统的传感器测出送给转向盘控制系统,并以阻力矩的形式反馈到驾驶员手上,形成所谓的路感[1]。因此对整个线控系统的控制有两部分[2]:(1)车轮转向驱动的控制,包括车轮快速响应转向指令和车轮的回正控制;(2)转向盘的控制,包括转向盘对驾驶员的路感控制和转向盘回正控制。
路感是汽车行驶过程中,路面反馈于驾驶员手上的力随汽车行驶状况变化的关系,原则上,与车轮侧向力有着对应关系的那部分反力不应太小,而与侧向力无关的各种摩擦力矩越小越好[3],因此就需要对前轮侧向力进行检测。较常见的方法是在前轮上安装力传感器,测量的结果经处理后传递到转向盘控制系统中[1-2]。这种方法的好处是回馈力直接和路面的状态相关,比较接近机械转向机构的路感。然而也带来一些问题:首先路面对转向系统的作用力既包含了侧向力也包含了各种摩擦力矩,而摩擦力矩对路感来说是噪声,应尽量减小,传感器将所有的力都传递给驾驶员,影响了路感;其次路面的冲击对于驾驶员来说也是不良的感觉,而采用传感器会将路面冲击也测量出来传递给驾驶员,从而造成驾驶员手上的冲击。
考虑到路感主要是车轮受到的侧向力反馈到转向盘的作用,而转向轮的侧向力可以通过汽车行驶状态参数的计算得到,因此驾驶员的路感可以通过转向盘转角和车速计算出驾驶员手上受回馈力的方法来获得,而无需通过前轮上的传感器直接测量,使转向盘控制系统与车轮的控制系统相互独立,消除了路面冲击的影响,由此建立的控制模型结构简单,对于转向盘的回正模拟可以达到较好的效果。
二、转向盘转角和转向盘力矩的关系
汽车的回正力矩由两部分构成,一部分是由轮胎拖距[3]造成的回正力矩,这部分力矩与离心加速度成正比;另一部分是由于主销内倾与内移造成的,与车速无关。转向力需要克服回正力、轮胎与地面的摩擦力以及转向系统的惯性力和阻尼力[3-4]。
轮胎拖距由气胎拖距和后倾拖距组成,如图1所示。轮胎拖距特别是气胎拖距,在车辆行驶过程中会随着离心加速度的增大而急剧下降,同时由于侧向力在高速时与离心加速度成正比,在高速时侧向力不会无限增加,考虑到车轮的附着极限,转向力矩在增加到一定值之后将会减小,转向力矩减小较大时车辆有侧滑或侧翻的危险,这时应考虑采取减小转向角等措施以减小离心加速度。为了便于路感的模拟,在极限值以下假设轮胎拖距为常数,则建立如下计算公式[3]
MZV=Py(ξ′ ξ″)(1)
式中MZV为由轮胎拖距造成的回正力矩;ξ′、ξ″分别为气胎拖距和后倾拖距;Py为侧向力,它近似与离心加速度成正比,有
,其中m为质量,v为车速,l为轴距,R为转弯半径,lh为质心到后轮的距离。转弯半径可以由下式得到

式中δ为车轮转角,lV为质心到前轮的距离,CαH为后轮侧偏刚度,CαV为前轮侧偏刚度。

将侧向力和转弯半径的表达式代入式(1)可得

主销内倾造成的回正力矩与行驶车速的大小无关,在低速和高速行驶时有着相同的值,这个回正力矩是低速时回正力矩的主要部分,可由下式求得[4]


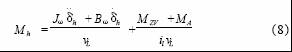
式中Mh为转向盘力矩;δh为转向盘转角;Jω为转向系折算到转向轴的转动惯量;Bω为转向系折算到转向轴的阻尼系数;il为转向系统传动比;vL为助力系数。车轮转角和转向盘转角之间关系如下
δh=ilδ
原则上对路感的要求是与前轮侧向力无关的各种摩擦力矩越小越好[3-4],回正力矩不能太小,因此,在转向盘力回馈系统中,可以只考虑回正力矩,这时式(7)可以简化为

通过测量车速和转向盘转角,然后经过简单的微分运算可以得出转向盘力矩的大小。这样就可以利用一个力回馈电机向驾驶员施加应有的力,实现路感的要求。
三、转向盘力回馈控制系统
式(8)给出了转向盘上回正力矩的计算模型,通过控制系统控制电机来实现该回正力的控制[1]。转向盘力回馈控制系统的结构如图2所示。

根据力矩平衡原理,可建立电机运动方程

式中N为减速比;MS为驾驶员手上的操作力矩;Mm为电机的输出转矩,Mm=Mh/N;Jm和Bm分别代表系统折算到力回馈电动机的转动惯量和阻尼系数;δm为电动机转角,δm=Nδh。
直流电动机的电平衡方程式为

由于电动机的电流和转矩之间存在线性关系,因此可采用控制力回馈电动机电流的方法来控制回馈力的大小[5],目标电流由式(11)给出。
在图2中,控制模块可采用较易实现的PID控制器,控制量如下

式中i(S)为传感器实测电流,KP为比例控制系数,Ti为积分时间常数,Td为微分时间常数。
控制器中的比例和微分项可以提高系统的响应速度,提高系统的跟踪性能,积分项可以消除抖动,减小误差[5-6]。
电流和转角之间的传递函数为

图3为比例控制器在比例系数变化时的频响曲线,从图中可看出,增大比例项的增益可以拓宽系统的频响范围。

由于转向盘系统和转向轮驱动系统之间没有机械联系,完全相互独立,因此转向盘系统的阻尼系数很小,在回正时极易发生振荡,为消除振荡可在系统中增加阻尼器[2],见图4。于是力矩平衡方程变为

式中BS为阻尼器的阻尼系数。

四、仿真试验分析

车速为40km/h时转向角和转向力矩曲线的仿真结果如图5(阻尼器阻尼BS=0.8N·m·s/rad)。

根据图4方案建立的控制器在试验台上试验的结果如图6所示。试验结果与仿真结果接近,表明该控制算法可行。

转向盘力矩侧向加速度梯度
的关系如图7,根据路感的要求,转向盘力矩侧向加速度梯度不能小于15N·m/g,也不应过大,应在图7所示的上下限范围内[3]。由图7可见,利用转向盘转角计算力回馈电机的回正力大小可以满足路感要求。

回正是转向盘转过一个角度后,撤去操舵力,车轮回到中位的过程,在这个过程中MS由一个初值突然变为零,在转向盘力回馈系统中,就是转向盘回到零位的情况。针对不同的阻尼系数,仿真结果如图8所示,从图中可看出增加阻尼可以减小回正时的振荡,当阻尼系数增加到1左右时,系统有较好的回正性能,振荡较小,同时回正速度较快。继续增大阻尼系数,将使回正速度下降。

阻尼系数在1左右的台架回正试验结果如图9所示,结果表明,在该阻尼器的作用下,系统有较好的回正性能。

五、结论
对线控转向系统的转向盘力回馈模型进行研究,提出了采用测量转向盘的转角和车速直接计算回正力矩的控制模型,同时提出了以电流为控制目标,PID为控制策略的控制方案,并对模型进行了仿真和试验。结果表明:模型计算的回馈力的大小能够满足路感的要求,该控制方案无需测量路面对车轮的反力,消除了车辆行驶过程中的路面冲击和转向系统的干摩擦对驾驶员的影响,同时也减少了信号传输的负担,提高了响应速度和系统的可靠性,结构简单,容易获得较好的频响特性。此外,通过在转向盘控制系统中加装阻尼器,可消除转向盘的振荡,提高系统回正性能。