2025年11月14日
配天机器人2025年11月14日
TE2025年11月14日
西门子2025年11月14日
新时达2025年11月14日
蔡司工业
2025年11月13日
埃尔森
2025年11月10日
BBS
2025年11月07日
劳易测
2025年11月06日
和利时
2025年11月14日
威图
2025年11月14日
TE
2025年11月14日
KUKA
2025年11月14日
先导智能
2025年11月14日
TDK
摘要:液力变矩器(T.C.)和机械式自动变速器(AMT)组成了T.C.+AMT自动变速系统,应用AMEsim软件对越野车辆T.C.+AMT以及AMT自动变速系统进行了建模和换挡过程仿真。在分析车辆换挡过程的基础上,对T.C. +AMT与AMT的仿真结果在换挡品质方面进行了分析比较。研究结果为T.C. +AMT自动变速系统的深入发展提供了理论依据。
关键词:T.C. +AMT;换挡品质;仿真分析
众所周知,液力变矩器(Torque Converters简称T.C. )具有无级连续改变转速和扭矩的能力,对外部负载有自动调节和适应性能,是液力自动变速器(AT)的重要组成部分。由于液体传动本身有一定的减振性能,能够有效地降低尖峰载荷和扭转振动,降低冲击,从而延长了动力传动系统的使用寿命。装有液力变矩器的动力传动系统可以保证车辆平稳起步、变速和变矩,加速迅速、均匀、柔和,提高乘坐舒适性和车辆平均行驶速度以及行驶安全性和通过性。而机械式自动变速器AMT(Automated Mechanical Transmission)则保留了手动机械变速器效率高、结构简单、易于制造、生产工艺成熟、成本低等优点,因此,在AMT的基础上将液力变矩器与固定轴式齿轮变速箱组合将得到T. C. +AMT自动变速系统,这样就可以避免AT的行星齿轮变速器结构复杂,制造加工困难,成本高等缺点以及AMT的起步和换挡控制比较困难、冲击大的缺陷。本文将用AMEsim软件对某越野车的自动变速系统进行建模和换挡过程仿真,并对T. C. +AMT与AMT在换挡品质方面进行比较。
1 仿真模型的建立
1·1 越野车动力传动系统概述
本文所研究的越野车动力传动系统由柴油发动机、液力变矩器(带闭锁离合器)、换挡离合器、变速箱、驱动桥和驱动轮等组成。其中,变速箱由定轴式主变速箱、行星式副变速箱组成,其简图如图1所示。主变速箱有四个前进挡、一个倒挡和一个爬挡,副变速箱有高、低两个挡,两者联合组成八个挡。副变速箱行星排的太阳轮输入,行星架输出,低挡时,齿圈固定;高挡时,齿圈与行星架连接使行星排整体旋转。

1·2T·C·+AMT模型
AMESim提供了一个系统工程设计的完整平台,使得用户可以在同一平台上建立复杂的多学科领域系统的模型,并在此基础上进行仿真计算和深入的分析。根据越野车动力传动系统的结构以及图1所示的变速箱简图,用AMESim的机械库、信号库及动力传动库[1],搭建越野车T. C. +AMT动力传动系统的AMESim模型,如图2所示。

图中的C、R分别代表爬挡和倒挡,其余的数字表示前进挡1至8挡。下面简单说明一下副变速箱模型。在副变速箱中,与齿圈相连的轴(以及同步器)是一同自由转动的,而同步器左侧两个相啮合的齿轮是固定不动的,其右侧两个齿轮是自由转动的。当同步器左移时,与其相连的齿圈就被固定了,此时为低挡;当同步器右移时,相当于把齿圈和行星架固连在一起,此时为高挡(即直接挡i=1)。
模型中,需要将发动机以及液力变矩器的稳态特性数据定义在一个可被AMESim子模型读取的特殊格式的ASCII码文件中。由于使用目的不同,所以数据也有大量不同的定义格式。在此,发动机子模型使用的是2D表格式(即由发动机转速和油门开度共同决定发动机的输出扭矩),液力变矩器子模型使用4个1D表格式来定义,通过AMESim的表格编辑器来创建子模型的数据文件。图2中各模型的参数按照车辆的实际值进行设定。
1·3 AMT模型
为了与AMT进行换挡品质比较,还搭建了AMT动力传动系统的AMESim模型,如图3所示。模型中各参数设定同图2一致。

2 车辆换挡过程分析
2·1 换挡品质及其评价指标
换挡品质是指换挡过程的平顺性,即在保证动力传动系统寿命的前提下,能迅速而平稳地变速换挡[2]。车辆换挡后是靠离合器主、从动片的滑转达到同步来完成动力传递的。在整个换挡过程中动力传动系各零部件均处于动态变化过程,换挡并非瞬时完成,对于有级变速器,其传动比变化过程会有不同程度的冲击。当冲击严重时,不仅人不能忍受,还将大大增加传动系统的动载荷。因此对车辆换挡平顺性提出了具体要求:车辆换挡过程应平稳、冲击小,不出现过高的瞬时加速度或减速度,以减少传动系的冲击和保证乘坐的舒适性。
换挡过程是发动机、离合器以及变速箱综合控制的过程,要求三者协调动作来减少冲击、降低噪声和保证离合器的使用寿命,从而提高换挡品质。一般来说,整个换挡过程包括以下五个阶段(以升挡为例,如图4所示):①换挡前原挡位行驶阶段(OA);②减小油门和分离离合器阶段(AB);③摘挡至空挡及选换挡阶段(BC);④结合离合器和加油门阶段(CF);⑤新挡位行驶阶段。

由于换挡阶段离合器处于分离状态,并且换挡同步过程本身产生的冲击很小,因此换挡阶段所产生的冲击对整车的行驶平稳性影响很小。真正影响车辆行驶平稳性的是离合器结合阶段产生的冲击。
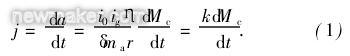
对离合器结合过程常采用冲击度j和滑摩功wc来进行评价。冲击度j是以车辆加速度a的变化率来表征的[3],即:

其中i0为主减速器传动比;ig为变速器传动比;η为传递效率;Mc为离合器输出扭矩;δ为车辆旋转质量换算系数;ma为车辆质量;r为车轮半径;k为常数。
式(1)表明,离合器输出扭矩Mc的变化率(dMc/dt)越大,则换挡冲击越大,故j较好反映了换挡过程的动力学本质。我国推荐冲击度最佳值为: [j]=17·64 m/s3,因此,建立离合器在结合过程中的约束条件:

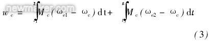
换挡过程中离合器的滑摩功wc为[3]:

其中wc为离合器从动盘转速;ωe1,ωe2为换挡前后发动机转速;t1, t2, t3, t4为离合器开始滑转、完全分离、开始结合、完全结合时刻。
从式(3)可以看出滑摩功的大小与接合过程的时间长短有关,接合过程长,滑摩功大,接合过程短,滑摩功小。滑摩功越小,车辆的功率损失越小,离合器的温升越低,离合器的摩损越小;滑摩功越大,车辆的功率损失越大,离合器的温升越高,离合器的摩损越大。
因此,若为了追求换挡平顺性而过分降低离合器的接合速度,滑摩功将大大增加,从而降低了离合器的使用寿命。也就是说,要同时满足冲击度和滑摩功都小是不可能的,二者是相互矛盾的,只有在容许的冲击度约束下,尽量减小滑摩功。
2·2 换挡时离合器结合规律
以升挡为例来分析换挡时离合器的行程变化情况。在图4中, A点时离合器开始分离,到B点主从动盘完全分离,离合器的分离应尽快完成,所以AB段应以最快速度分离, C点离合器开始回程,CD段是消除离合器分离间隙段,可以快速结合,D点(即半结合点)主从动盘开始结合,在DE段,主从动盘有转速差,将产生冲击,这阶段对换挡过程中的品质起着决定性的影响,所以要慢速结合,E点时离合器结合完毕,为了使压紧力增加至最大还有一个继续接合的行程EF, EF段可快速结合。
因此,在换挡过程中离合器的结合规律是快-慢-快,根据参考文献[4]中的研究结论,离合器自由行程阶段CD的时间大约为0·2 s,滑磨阶段DE的时间约为0·5 ~ 1·5 s, EF段时间约为0·02 s。
3 换挡仿真结果分析
下面,将通过AMESim仿真对产生换挡冲击的DE段进行重点研究,为了进行对比分析,设定离合器滑磨阶段DE的时间分别为0·8 s和1·2 s。在AMESim中,以车辆一挡升二挡为例,在相同的条件下,分别来仿真T. C. +AMT以及AMT的换挡过程,发动机、离合器及以变速箱的综合控制信号如图5所示(滑磨阶段DE的时间为0·8 s)。

为了分析比较越野车辆T. C. +AMT与AMT在换挡过程中的冲击度,需要对二者(图2和图3)的仿真结果即离合器的输出扭矩Mc做进一步的分析,下面将建立冲击度j即式(1)的AMESim模型,如图6所示。

①当设定离合器滑磨阶段DE的时间为0·8 s时,仿真结果如图7、图8。


从图中可以看出,换挡时T·C·+AMT产生的冲击度最大值为j=7·444 m/s3,而AMT换挡时产生的冲击度最大值为j=14·333 m/s3。
②当设定离合器滑磨阶段DE的时间为1·2 s时,仿真结果如图9、图10。


从图中可以看出,此时,T·C·+AMT换挡产生的冲击度最大值为j=5·545 m/s3,而AMT换挡产生的冲击度最大值为j=10·249 m/s3。从以上两种不同情况的仿真结果可以看出,正如前面所述,换挡时产生的冲击主要集中在离合器的结合阶段。而且,在滑磨阶段将产生最大值,滑磨阶段4个图中冲击度的最大值都满足式(2)的约束条件,即j ≦17·64 m/s3。另外,仿真结果还验证了随着滑磨时间的增长即离合器结合速度的降低,产生的冲击度将逐渐减小。最重要的是,从仿真结果可以很明显地看出,在这两种不同的离合器滑磨时间下,带有液力变矩器的车辆冲击度最大值都远远小于AMT车的冲击度最大值。也就是说,在相同的条件下,越野车T·C·+AMT的换挡品质比AMT的换挡品质要好很多。这正是由于液力变矩器具有自动适应性,充分缓和了换挡时因速比差而引起的冲击,因而,不但延长了车辆动力传动系统各零部件的使用寿命,而且还提高了乘坐的舒适性。
4 结论
本文使用AMESim软件对越野车T·C·+AMT以及AMT自动变速系统的换挡过程进行了仿真研究,并分析比较了二者的换挡品质,证明了在相同条件下越野车T·C·+AMT的换挡品质比AMT的换挡品质要好很多,极大地提高了越野车辆的平顺性,这就为T·C·+AMT自动变速系统在越野车辆上进行更深入的研究和发展提供了理论依据。由于项目进展的情况,目前没有试验数据,下一步将进行试验验证或实车试验对比。