info
西门子:电池白皮书
行业动态
MORE...
应用案例
MORE...
技术前沿
MORE...
当前位置:首页 技术 正文
机动车非接触识别系统的设计与实现
转载 :  zaoche168.com   2009年01月10日

一、前言

 

目前,在机动车锁止系统采用的技术主要分为机械和电子两大类。非接触识别技术利用微波传输和编解码技术实现近距离的非接触识别,属电子通信类,在国外已广泛应用于中高档轿车,国内的部分高档轿车也已经装配,但大部分是进口原装系统,该技术已成为机动车锁止系统总的发展趋势。

 

作者设计开发的锁止系统是采用目前世界上先进的非接触电子识别技术,它将机动车的机械锁和非接触电子识别系统集成为一体,合理地解决机械锁中“一把钥匙开多个车”的问题,是机械识别技术与现代先进的电子识别技术的最佳组合,从而使机动车的锁止系统变得先进、可靠、安全。该系统采用的是近距离的非接触识别技术,具有双重密码机制,密码不易被盗取,私密性和可靠性远远优于传统的无线防盗系统。

 

目前,国内外的同类系统在系统维护和钥匙增配方面存在着一些不便之处,但在该系统中已做相应地改善,使得系统运营成本大大降低。

 

二、系统的结构与功能

 

系统的结构该系统由3部分组成:封装在钥匙上的密码存储器、套装在锁头上的线圈和控制模块。

 

1)密码存储器 可存储128位用户密码,并能有效地防止非法读写;它所存密码的权限有2:普通密码和超级密码。该密码存储器是无源的,被封装在钥匙柄上。

 

2)线圈 线圈被套装在锁头之上,作为微波收发器,是数据和命令传输的通道。

 

3)控制模块 控制模块是整个系统的核心,内有微处理器、射频电路、密码存储器(EEPROM)和控制电路,用于控制密码的存取、比较以及对启动设备的控制。

 

机动车非接触识别系统结构框图见图1

 

 

 

(一)系统的功能

 

1.系统的识别控制功能

 

用带有密码存储器的钥匙插入发动机启动开关钥匙孔内,顺时针旋转至“ON”位置,识别系统的电源被接通,系统开始识别密码,如识别成功,则接通相应控制电路,钥匙再顺时针旋转至“START”位置,机动车启动。

 

2.系统的扩充功能

 

密码钥匙的补配和增配问题一直是个难题,不同的汽车厂有不同的做法,但是都需要返回原厂改配,既耽误时间,费用又高,极不方便。该系统采用独特的密码钥匙配制方式,仅凭一把超级密码钥匙就可以改配原有钥匙,并可增配钥匙,且费用极低,非常方便,其过程如下。

 

1)用开发的写密码的专用软件PassWordDown通过计算机的串口将超级密码和普通密码传给控制模块,控制模块再将密码写入密码存储器,该密码生效。

 

2)当再需要配制密码钥匙时,只需使用一次超级密码钥匙,然后将需要配制的密码钥匙插入钥匙孔执行正常启动流程,在启动流程中钥匙的密码被重新配置,需要配几把就操作几把,所有要配的钥匙配制完成后,再使用一次超级密码钥匙,密码钥匙配制流程结束,所配钥匙的权限生效。

 

三、系统的硬件设计与实现

 

(一)系统的硬件

 

该系统的CPU选用AT98C55WD[1],其非接触识别技术采用的是HITAGTM2[2]技术,密码存储器选用的是HT2DC20S20,该技术利用无线传输和编解码技术实现近距离(小于5cm)的非接触识别。由于信息交互范围小,可使私密信息不容易被窃取。另外,HITAGTM2密码存储器采用双重密码机制,可有效地防止密码的非法复制,提高钥匙的私密性。

 

考虑到机械结构的合理性,把密码存储器安装在钥匙柄上。由于无线信号传输是通过线圈耦合的,因此线圈必须要安装在锁头上。线圈的引线不宜过长,否则会影响到品质因数Q[3]值,这就使得控制器应安装在驾驶室内仪表盘附近,所以控制器体积必须要小以便于安装。系统最终选用封装为SO214的专用集成电路HTRC110[4],实现超小体积的控制器,使得安装极为方便。

 

(二)系统的电路

 

密码存储器HT2DC20S20是一种棒状的异频雷达收发器,具有256位存储空间,用户可用空间为128位,还有32位的唯一系列码。用该存储器可实现系统的二级密码机制,即首先通过无线信号向存储器发送读写密码,只有在读写密码正确后,该存储器中所存储的系统密码才能被读写,从而使钥匙密码被复制的机率大大降低,提高系统的加密安全性。

 

其技术实现的原理是控制模块通过天线线圈将规约命令字以ASK方式调制到125kHz载波上发射出去,钥匙柄上的密码存储器处在有效场强范围之内,该密码存储器内部集成一个射频电路和一个内置线圈,线圈接收到射频信号后,通过射频电路实现3项功能:电源提取、命令数据提取和数据调制发送。从而使密码存储器实现无源条件下的数据交互。密码存储器将数据调制发送后,控制模块通过天线线圈将信号接收下来,然后经解调获得密码数据,并与控制模块内AT24C02(非失意存储器)中存储的密码数据进行比较,实现系统识别。该项技术可采用的码制为曼彻斯特码(manchester)和双极脉冲码(biphasepulseduration),该系统采用的是曼彻斯特码,该码制解码效率较高,微处理器处理起来比较方便。

 

系统控制模块结构框图见图2

 

 

 

(三)系统的天线设计

 

该系统天线的设计制作是极为关键的,其质量将直接影响系统的通信性能。由于天线要安装在锁头位置,锁头的机械结构及其周围环境空间都制约着天线的设计。天线的设计既要满足空间的要求,又要充分考虑天线线圈的线径、匝数和材料,以保证其电感量、磁通量以及Q值均能满足系统的要求。

 

锁芯对天线线圈的电感量、磁通量都有很大影响;天线线圈的绕制对其质量也有较大影响。天线线圈的电感量和谐振回路的电容应达到谐振,才能得到足够大的射频发射信号。作者经过大量的试验,最终设计出结构合理、性能稳定的天线。天线的电路原理图见图3

 

 

 

 

 

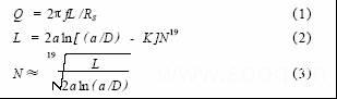
当天线电缆长度大于50cm时,附加电阻R2=6001000Ω;天线线圈的电感量L=300500μHQ40[5],不宜太高,否则需要加大附加电阻阻值来将其降低,但在实际中一般通过减小线圈的线径来增大附加电阻。天线的Q值、电感量L和线圈匝数可以根据以下公式计算。

 

 

 

式中f为信号频率;RS为等效电阻;D为天线线圈的周长;a为天线线圈的线径;N为天线线圈的匝数;K为天线线圈的几何常数,环形天线时K=1.01;方形天线时K=1.47

 

四、系统的软件设计与实现

 

该系统的软件由两部分组成:识别控制器软件和上位机的密码钥匙管理软件PassWordDown

 

(一)识别控制器软件

 

识别控制器软件主要用于控制RF/写专用芯片HTRC110通过无线方式对HITAGTM2密码存储器HT2DC20S20进行读/写操作,从而实现密码的识别和管理。该部分软件包括串行通信、密码识别、密码读写以及执行机构控制。识别控制器软件的主流程图见图4,读/写密码流程图见图5

 

 

 

 

 

(二)密码钥匙管理软件

 

上位机的密码钥匙管理软件PassWordDown主要是通过PC机串口与控制模块通信,控制模块再对密码存储器和AT24C02进行读写操作,从而实现超级密码钥匙和普通密码钥匙配置和增配,达到密码有效管理的目的。

 

五、结论

 

经实践证明,作者设计开发的系统方案安全可靠,经济实用,品质优良,特别是在密码机制和密码管理方面尤为突出,且静态零功耗。该系统已通过两项省级鉴定,并已在重型汽车上使用,效果很好。

 

另外,该系统结构灵活,极易推广,只要改变线圈的结构形式,就可以适应于其他车型。

品牌社区
—— 造车工艺 ——
—— 数字化制造 ——
—— 智能驾驶 ——
—— 新能源技术 ——
—— 机器人技术 ——