2025年11月14日
配天机器人2025年11月14日
TE2025年11月14日
西门子2025年11月14日
新时达2025年11月14日
蔡司工业
2025年11月13日
埃尔森
2025年11月10日
BBS
2025年11月07日
劳易测
2025年11月06日
和利时
2025年11月14日
威图
2025年11月14日
TE
2025年11月14日
KUKA
2025年11月14日
先导智能
2025年11月14日
TDK
来源:
1 引言
模具制造水平是反映一个国家总体制造水平的重要标志之一。随着国民经济的发展,对模具的要求也越来越高。其中之一是在大市场的条件下,模具制造要适应快的特点,制造厂商对订单的响应速度,可能决定其在市场上的成败。而要提高响应速度,仅仅从提高设备台数和单台生产效率是不够的,应从整体上提高模具制造系统的自动化水平和管理水平。
在模具制造系统中,电火花线切割起到了重要作用。模具零件,特别是模具关键件(模具成形部分)很大部分是由线切割完成的,其工作量很大。因此构造与模具制造系统相匹配的、具有较高自动化水平和一定管理协调能力的直接数字控制(DNC)电火花线切割系统是很有意义的。
2 电火花线切割DNC系统的总体结构
电火花线切割机的数控系统已日臻完美。但目前仍有大量线切割机是一台配一套控制系统,自动编程程度低,特别是早期的控制系统,用单板机控制,多用手工编程或 计算 机编程后用手工或穿孔带输入。较先进的线切割机配备了微机,利用微机较强大的图形和数据处理功能进行绘图、编程乃至控制。即使如此,大多也是独台使用。这对大量生产制造模具这种产品(多品种、小批量)的制造系统来说,反应慢、效率低,与要求高效的模具制造系统不相适应。
在规模稍大的模具制造厂(车间),需要线切割加工的零件数量很大,往往配置了几台,甚至几十台各种规格的线切割机。因而渐渐地出现了群控系统的概念,但其仅仅是把自动编程系统与线切割机简单连接,只是节省了编程和输入的工作量。
为了提高反应能力和生产效率,应把多台线切割机构成一套完整的DNC系统。这套DNC系统自身应具备较高的自动化水平和一定的计算机辅助管理水平,同时又保持单机的灵活性和系统的可重构性,并与模具制造系统的CAD构成一体化,即将模具CAD软件产生的设计信息,快捷、安全地与DNC联机,实现CAD/CAM的集成。
图1显示了电火花线切割机DNC系统的总体结构。系统主机与数控系统计算机各行其职,又互联,既保证控制系统的实时性,又保证线切割机的独立性和可重构性,它体现了开放式体系结构的特点,从而使系统具有良好的可扩展性、可维护性、可移植性等特点,各层之间通过数据接口来实现其间的通讯。系统包括图形处理功能,一方面接收如虚拟 企业 、企业联盟、CAD中心等传给的CAD信息,经数据交换格式(如IGES)处理后,通过自动编程系统生成控制程序;另一方面自身又能进行模具零件的设计并转换成控制指令。编程系统也可直接编制程序。管理系统对若干天内的DNC工作做出计划,使系统内的各种线切割机做到均衡负荷,并为管理人员和操作人员的工作进行提醒。

图1 电火花线切割机DNC系统的总体结构
3 线切割自动编程系统
要实现系统的CAD/CAM集成化,首先要解决图形的输入 问题 。Auto CAD图形系统具有强大的图形输入和编辑功能,是目前微机上最活跃的CAD系统。基于Auto CAD环境的线切割自动编程系统具有良好的应用前景。自动编程系统的模块结构如图2所示。

图2 自动编程系统的模块结构
软件包括系统功能(进行3B、4B、ISO代码文件的编辑打印、系统参数的设置等)、代码指令图形逆转换(用以检查代码指令的准确性)、代码指令转化、各专用零件的参数化设计、NC通信等。系统可接受模具设计软件如UGⅡ的设计结果,根据图形经缩放间隙后直接转化为数控指令。
参数化建模针对专用零件如抛物线、渐开线零件及凸轮、齿轮等进行参数化设计。
图3显示的是系统界面上该模块的下拉式菜单。

图3 系统界面及参数化设计的下拉式菜单
要实现线切割加工CAD/CAM集成化,还必须使CAD图形转化为NC机床能接受的指令。算法步骤如下:
(1)利用AutoCAD的offset命令生成刀具曲线。
(2)对CAD图形元素按加工顺序重新排序,算法是:
STEP1:选取加工首点和加工方向,在图形数据库中找到加工的第一个元素,并将其终点置为当前点,已找到的图形元素设置已排序标志。
STEP2:搜索与当前点有关的图形元素,如该图形元素没有被排序,则该元素为当前元素,当前元素的另一端点为当前点,同时将该元素设置已排序标志。
STEP3:重复STEP2,直到图形已封闭或所有元素都已排序。
(3)对已排序的所有图形元素生成NC指令
线切割机保留单独控制器结构,以提高实时性和可靠性。计算 机通过RS232串行口与线切割机控制器通讯口相连,可实时输入线切割程序对机床进行控制,或通过机床的电报头模拟纸带输入进行控制。同时,控制器可向计算机传输机床状态信息,如断丝、短路、加工开始、结束等,以实现计算机对多台线切割机的管理和控制。实现计算机与线切割机的串行通讯,其原理框图如图4所示。

图4 串行双向数据传输原理图
4 管理系统
管理系统具有如下功能:
(1)生成切割工艺参数库,对切割电流、切割速度和脉冲频率等参数提出意见。
(2)计算各零件的切割加工工时数,根据零件的加工厚度、路径长度和工艺参数计算零件的加工时间。
(3)生成调度计划。
按批次所限时间安排计划,同时考虑各种规格设备的均衡及最大负荷。作业分配计划按天。分配时要考虑:①从数量和品种上保证作业计划的完成;②成批的产品尽可能集中生产;③由于生产技术准备等方面的原因,某些零件要在某天后才能加工;④某些产品要求在头几天内完成。
如对计划内的每天同时计算,问题非常复杂。根据上述条件从第一天至最后一天逐天计算。
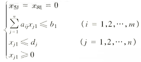
假定车间有m种规格的线切割机,用i表示(i=1,2,…,m),加工n种产品,分别用j表示(j=1,2,…,n)。这些产品计划量用dj表示。
用aij表示加工单位j种产品需要的第i类机床的台时数,bik表示第k天内第i类设备的生产能力(台时)。xjk表示第k天计划生产j种产品的数量。
再根据前面的假定条件,如第5、8两产品到后半段生产,第4号产品要求第二天前完成。则第二天的线性规划模型为:满足:

其意义是以第一天各种规格机床的生产能力总和为分母,生产各种产品需要的各类机床总台时数为分子, 计算出第一天的平均设备利用系数Z,并以Z为目标函数。
然后依次作出后续各天的线性规划模型并求解,再根据具体情况对计算结果进行必要的调整。
(4)监控加工情况,可对各台线切割机加工情况进行跟踪,实现故障报警、工件准备提示、加工结束提醒及加工量等的记录、统计、计算。
5 控制系统
DNC系统采用主从计算机式结构。线切割机在从计算机的控制下能独立工作,因此控制系统应具备常用数控电火花线切割机所具有的控制功能,在此不作详细讨论。除此之外,控制系统应能与主机双向通讯,对监控和管理提供信息。
|
相关:
| |||||||
|
| |||||||
|
| |||||||
|
|