2025年11月14日
配天机器人2025年11月14日
TE2025年11月14日
西门子2025年11月14日
新时达2025年11月14日
蔡司工业
2025年11月13日
埃尔森
2025年11月10日
BBS
2025年11月07日
劳易测
2025年11月06日
和利时
2025年11月14日
威图
2025年11月14日
TE
2025年11月14日
KUKA
2025年11月14日
先导智能
2025年11月14日
TDK
世界各大汽车公司在政府的支持下,都在开展这方面的研究开发工作,例如:日本由各大汽车公司及大学等研究机构参与的先进安全汽车(ASV)项目,通过概念设计、单元技术实用化及系统综合技术研究开发、试验车制作、实车试验的实施等步骤,已取得实用化成果。利用信息感知、动态辨识、控制等技术与方法于一体提高汽车的主动安全性,是ITS 的主要研究内容之一。美国交通部(DOT)主导的 ITS 中的 AHS (Automated Highway Systems)开发项目结束后,于1998 年开始了以主动避撞系统CAS (Collision Avoidance System)为中心的初级智能汽车IVI (Intelligent Vehicle Initiative)项目,并取得阶段成果。国内对智能交通环境下汽车行驶主动安全技术的研究起步较晚,只对其中涉及的局部技术进行了一些尝试性的探讨。
本文针对智能交通系统环境下车辆行驶主动安全技术所涉及的关键内容进行了研究。研究了车辆运动中对周围障碍物的感知技术和方法,解决了探测雷达信号处理中的干扰和实时性问题;研究了车辆危险或安全状态的动态辨识方法,提出了基于驾驶员感觉的安全距离确定方法;研究了汽车主动避撞控制技术及控制执行技术,针对车辆纵向控制系统中存在的问题,设计了控制算法及控制执行器系统。通过对各关键单元技术的研究,系统解决了智能交通系统环境下车辆行驶主动安全的关键技术问题。通过相应的仿真及实车实验结果,对各关键技术的研究成果进行了验证。
1 基于智能交通系统的汽车行驶主动安全系统
基于智能交通系统的汽车行驶主动安全系统指利用现代信息技术、传感技术来扩展驾驶人员的感知能力,将感知技术获取的外界信息(如车速、其它障碍物距离)传递给驾驶人员,同时在路况与车况的综合信息中辨识是否构成安全隐患;在紧急情况下,能自动采取措施控制汽车,使汽车能主动避开危险,保证车辆安全行驶,也就是通常所说的汽车主动避撞系统。国内外对车辆行驶主动安全技术的研究主要集中于车辆行车信息感知及行车安全状态辨识技术、车辆主动避撞系统控制技术及车辆控制执行技术等方面。系统中所涉及到的关键技术及相互关系如图1 所示。

图1 汽车主动避撞系统关键技术
2 汽车行驶主动安全关键技术研究
2.1 车辆行车信息感知及安全状态动态辨识技术
车辆行车信息感知及安全状态动态辨识技术,就是利用安装于汽车上的各种传感器,实时的对车辆运行参数进行检测,并通过必要的信号处理及信息融合获得车辆的行车安全状态的动态信息。测距雷达信号处理技术和行车安全距离动态算法是其中最关键的技术。
2.1.1 测距雷达信号处理技术
经测距雷达传来的目标物距离信号含有随机误差,必须要对原始数据进行处理,才可以在系统计算中应用。另外测距雷达传来的只是车辆间的距离信息,必须从这些距离信息中比较准确的提取出车辆间的相对速度以及相对加速度信息。过去采用的办法是直接对距离信号取微分,得相对速度值,再对相对速度值取微分得相对加速度值,这种方法经实践证实是不可行的。问题主要有两点:一是距离误差对相对速度以及相对加速度的影响较大,实际计算得到的相对速度及相对加速度值难以应用。二是由于算法所限,系统实时性不好。在控制工程中常用的Kalman 滤波算法是一种实时滤波算法,并可以得到系统状态向量的平滑估计,本研究将Kalman 滤波算法应用于汽车主动避撞系统的雷达信号处理,可以有效地弥补上述两点不足。
图2 是对一次试验记录数据的滤波结果对比图。首先,Kalman 滤波由于是实时滤波,保证了系统处理的实时性。其次,从相对距离对比图中可以非常直接的看出,经Kalman 滤波处理后,由测量误差带来的距离值的突变得到了有效地抑制。从相对速度对比图可以看出,采用对距离值直接微分的方法得到的相对速度值波动非常巨大,实际计算中根本无法使用,而用Kalman 滤波方法得到的相对速度值则去掉了相对速度值的大的波动,反映了实际相对速度值的变化情况。

图2 Kalman 滤波结果对比图
2.1.2 行车安全距离动态算法
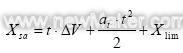
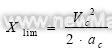
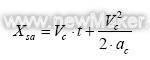
传感器正确获取车辆行车信息之后,需要进行各种信号的融合,进行车辆危险或安全状态的实时辨识。需要确定的是当前情况下的行车安全距离。本研究提出了一种基于驾驶员模型的安全距离确定方法。实际行车时,驾驶员总是要对车辆的运行进行一下预测,以决定当前的操作[7],本系统所采用的驾驶员模型以此行为为基础。驾驶员预测t 秒后车间距离,将此车间距离与驾驶员认为的界限车间距离Xlim 进行比较,如认为车间距离将小于Xlim,则在当前时刻制动,当前时刻的车间距离即为极限安全距离。即
(1)

其中,Xsa 为极限安全距离;ΔV 为相对速度(Vc-Vt);Vc 为自车速度;Vt 为目标车辆速度;at 为目标车辆减速度; 接近静止目标时:
(2)
(3)
接近运动目标时:

其中,thw 表示驾驶员的主观车头时距;ac 为驾驶员主观认为的自车最大制动减速度,其取值与路面附着系数有关;at、ΔV、Vc 通过传感器测量或信号处理得到, t,ac 以及thw 通过实验获得。这样,通过上述公式(2)、(3)、(4)、(5)就可以进行安全距离的计算。本模型的优点是通过实验手段,获得驾驶员主观特点数据,避免了由于路面附着系数不准确等因素带来的较大的安全距离计算误差。
2.2 汽车主动避撞控制技术
纵向汽车主动避撞系统对车辆进行控制的目的是将自车到前车的距离保持在安全水平。整个汽车主动避撞系统控制结构由上位控制器和下位控制器两部分构成,如图3 所示。要进行上位和下位控制的研究,建立车辆纵向动力学模型是基础,因此,车辆主动避撞控制技术包括车辆模型的建立、上位控制及下位控制策略的确定。

图3 汽车主动避撞系统控制结构图

图4 车辆纵向模型
2.2.1 车辆纵向动力学模型
车辆控制方法的评价是基于系统仿真及实验的结果,作为仿真评价的基础,首先需要建立比较准确的车辆动力学模型。本研究使用的实验车辆是某型自动变速器轿车,发动机排量1.8L。汽车纵向动力学总成包括:发动机、液力耦合器、自动变速器及车辆驱动系。各总成的特性参数及相互间的动力传递如图4所示。针对车辆纵向动力学各单元总成的特性,运用混合建模技术,得到整车纵向动力学仿真模型。基于Matlab/Simulink 软件平台的车辆模型如图5 所示。此模型的输入量有两个:节气门位置和制动压力,输出量是车辆速度和加速度。

图5 车辆仿真模型
为验证车辆纵向动力学模型的准确性,设计实车实验对车辆模型进行了验证,实验条件如表1所示。
表1 车辆模型验证实验条件表

分别记录各实验的节气门输入信号、制动压力输入信号、车辆的速度及加速度输出信号,按相同条件,进行车辆的模型仿真实验,记录仿真模型的速度及加速度输出,并将实验及仿真结果进行对比,得到对比图如图6 所示。

图6 实车实验结果与仿真结果对比图
2.2.2 上位控制方法研究
目前,国内外对上位控制器的设计已经做了很多工作[8][9],PID 方法、LQ 理论,滑模理论以及模糊理论都被应用于上位控制器的设计,但基于以上方法的上位控制器基本以提高系统某一性能为目标,未能使控制精度和响应时间两方面都得到改善。本研究提出了基于混合策略的上位控制器设计方法,理论分析和仿真试验结果表明,该方法满足主动避撞系统对安全性和驾驶舒适性两方面要求的同时,降低了系统的响应时间。
所谓基于混合策略的上位控制器是指结合了LQ 方法和基于时间-能量最优控制方法优点的控制器。控制规律如图7 所示。基于LQ 方法的上位控制器取状态误差和控制量的二次型作为性能指标,所以该控制器的稳态误差小,控制过程中加速度也相对较小,但是由于性能指标没有直接体现系统的响应时间,所以系统响应相对较慢。基于时间-能量最优的上位控制器以响应时间和控制量的大小作为性能指标,较基于LQ 方法的上位控制器响应速度有所提高,但是该控制器不能稳定在原点。基于混合策略的上位控制器将LQ 控制稳态误差小和基于时间-能量最优控制响应速度快的特点结合,获得了较好的控制效果。

图7 基于混合策略的上位控制规律
针对汽车主动避撞对象的LQ 控制方法、基于时间-能量最优的控制方法以及基于混合策略的控制方法的仿真结果如图8 所示。从仿真结果可见,基于混合方法的上位控制器针对汽车主动避撞系统的特点,巧妙地结合了上述两种控制器的优点,即在保证良好的稳态精度的同时,改善了系统的响应速度。虽然该控制器的控制量相对较大,但仍然在舒适性的要求范围内。

a) 车间距离响应曲线 b)被控车速响应曲线 c)被控车加速度响应曲线
图8 三种控制器的仿真曲线
2.2.3 下位控制方法研究
由于车辆制动、驱动力特性中含有强烈的非线性,同时车辆质量变动、道路坡度及风阻等外部干扰因素的存在,车辆下位控制器设计时控制系统的鲁棒跟随性和鲁棒稳定性往往不能得到兼顾[10]。针对这一问题,本研究设计了基于模型匹配方法的二自由度控制器来实现车辆主动避撞系统下位控制的控制性能。 控制器结构如图9 所示。此处的二自由度控制器是指参考输入信号和控制对象的输出信号情报分别独立使用,就是既有反馈又有前馈的控制器。此控制器的特征是闭环目标值应答特性可以通过反馈特性的设计来独立设定。在这种情况下,利用前馈补偿器设定目标值的应答特性即模型匹配特性,利用反馈补偿器的设计实现反馈特性即系统的鲁棒跟随特性和鲁棒稳定特性。

图9 二自由度模型匹配控制器
针对汽车主动避撞系统下位控制模型匹配控制器性能,进行了如表2 所示内容的实车实验。实验结果如图10 所示。从实验对比结果可见,对于车辆及环境中存在的不确定因素对控制结果的干扰,模型匹配(MMC)控制器能在一定范围内予以消除,使系统具有很好的鲁棒跟随性及鲁棒稳定性。
表2 下位控制器性能验证实验条件表


a)实验1 结果对比图 b)实验2 结果对比图
图10 下位控制器控制效果对比图
2.3 车辆控制执行技术
汽车主动避撞系统所用执行器有两个:节气门伺服执行器和制动作动器。对于节气门伺服执行器,采用脉宽调制(PWM)控制的直流电机来实现。对于制动作动器由于制动系统的好坏直接关系到驾驶员的生命安全,所以要求自动制动系统响应要快,可靠性要高;由于目前汽车内可用空间较好,所以要求自动制动系统体积尽量小;为能够直接、迅速、广泛地在国内轿车上得到应用,要求自动制动系统对原车的改动要尽量小。在汽车行驶过程中,仍然以人为主,只当汽车间距小于安全距离而人又没有采取措施时自动制动系统才会起作用。在自动制动作用过程中,只要人一踩制动或加速踏板,则控制权便交给驾驶员,自动制动系统不起作用。所以在自动制动系统和原制动系统之间应当有电控切换装置。本研究设计的自动制动系统采用液压系统,原理图如图11 所示。本系统输出压力的控制采用高速开关阀结合脉宽调制(PWM)
控制来实现。

图11 液压自动制动系统原理图
3 结束语
使汽车具有主动安全性,集信息感知、动态辨识、控制等技术与方法于一体是ITS 的主要研究内容之一。世界各大汽车公司,都在开展这方面的研发,目前日本、欧美汽车企业在汽车主动避撞技术方面已取得实用化成果。这些技术虽然其理论研究成果可以借鉴,但涉及具体技术属于公司保密范围,国内企业难以得到具体技术资料,且中国的道路及驾驶习惯与国外不同,不能直接引进使用国外技术。本研究在车辆运动中对周围障碍物的感知技术和方法、车辆行驶危险或安全状态的动态辨识方法、汽车主动避撞控制及执行技术等关键技术问题的研究方面取得了一定的突破和创新,为解决智能交通系统研究开发过程中的汽车行驶安全问题,提供了理论及技术支撑。