2025年11月14日
配天机器人2025年11月14日
TE2025年11月14日
西门子2025年11月14日
新时达2025年11月14日
蔡司工业
2025年11月13日
埃尔森
2025年11月10日
BBS
2025年11月07日
劳易测
2025年11月06日
和利时
2025年11月14日
威图
2025年11月14日
TE
2025年11月14日
KUKA
2025年11月14日
先导智能
2025年11月14日
TDK
汽车工业的车身造型是现代制造技术在产品上的集中体现。未来二三十年,中国将成为全球汽车消费大国和汽车零部件制造大国。汽车制造业能否生存下去并发展壮大,关键看其能否不断地降低成本、及时地设计和制造出新颖的车型来。随着计算机网络的迅猛发展,某项设计任务往往需由不同地点和协作单位的设计机构与不同部门共同承担。因此虚拟产品开发技术将能更好地解决制造业所面临的重大问题。
在设计领域中,计算机是科技人员高效率设计的工具。设计人员可以按照自己的想象用计算机建立待开发产品的三维模型。利用CAE软件还可对其结构进行应力分析、运动仿真,使不合理的部分随时得到修正。协作单位之间可利用互联网络随时传递信息、交换文件,及时地获取对方工作的进展情况,对设计中出现的问题可随时提出相关的建议和意见,也可对其进行直接修改,进行异地虚拟设计。这样既方便协作又节省时间,可以大大提高工作效率,缩短新产品的开发周期。
1、轿车骨架注塑模具结构总体设计方案
1.1制品分析和材料选择
本制品为轿车骨架,其模型如图1所示。图1中9个黑点为浇口位置。该骨架总体尺寸为2800mm x 1200 mm x 1200 mm,壁厚为3 mm,外表面要求光洁,其粗糙度(Ra)为0.8μm,内表面及其它地方Ra为1.6μm。车身窗口较多,除了尾部车灯处需要侧抽芯以外,前后盖孔均由型芯成型,而左右门窗处的孔则由型芯与型腔的曲面组合而成。制品对型芯有一定的包紧力,可保证制品留在动模一边。车壳内外侧的边角均设计成圆弧倒角,有利于塑料熔体充模流动和制品的顺利脱模,可增加模具的总体强度,更能满足人们对视觉效果的追求。

由于使用条件和环境的特殊性,要求成型轿车骨架用塑料应具有高的耐冲击性、耐老化性、耐腐蚀性,良好的耐磨性、耐候性及较高的耐应力开裂性。为满足以上要求,可选用聚丙烯/(乙烯/丙烯/二烯)共聚物(PP/EPDM)合金材料或玄武纤维增强聚双环戊二烯(PDCPD/BF)复合材料。因为前者常用于汽车保险杠,将EPDM与PP共混是提高PP冲击强度的主要方法,而且EPDM具有优异的热稳定性,与PP有良好的相容性;采用后者是鉴于美、英、日及西欧等国家和地区都大量采用玻璃纤维增强环氧树脂复合材料,而PDCPD/BF复合材料的弹性模量为110 GPa、拉伸强度为430 MP a、压缩强度为440 MPa,使用温度为一260 ~700 ℃,这种具有网状体型结构的热固性塑料适于制作轿车骨架、车身、保险杠等。现以EPDM/PP合金为例,对轿车骨架注塑模具进行讨论。
1.2模具总体结构设计及动作原理
根据轿车大小、形状及用途,并考虑到模具制造技术的合理性和可行性,将模具设计为单型腔、针点浇口进浇的三板式结构,它的外形长3 400 mm、宽1700 mm、高3 800 mm,结构如图2所示。分型时选取骨架底部大平面为分型面,型芯和型腔分别成型制品的内外表面,骨架左右门的空洞由型芯与型腔各成型一半,而车前盖和后盖的空洞可直接由型芯成型,型腔为一个完整的曲面。这样分型有利于将制品留在动模一边,便于脱模。型腔采用整体式,型芯采用轴肩、推件板、固定板和垫板的组合结构。推件板中心孔制成型芯外壁形状,保证与轿车骨架底部的形状吻合,前后4个车轮曲线由嵌块与推件板组合,并可随推件板同时顶出,制品顶出受力均匀,保证了轿车骨架能平稳地被推件板脱出。

该模具动作原理如下:
(1)熔体注射、保压、冷却完成后,开模时依靠弹簧25作用使次分型面A -A首先打开,拉断浇口,然后次分型面继续打开直到定距拉杆26头部螺钉撞击型腔板13的圆形槽,迫使主分型面B-B打开,制品包紧型芯留在动模一边。
(2)开模到位,注塑机中心顶杆动作,顶出系统前进、推板3前移,制品在大顶杆(顶出回程杆)29、推件板11和小顶杆32的同时作用下推动斜导柱7使滑块12完成侧向分型抽芯,并由钢球10定位。制品从主型芯上顺利脱出。
(3)脱模完成以后,注塑机中心顶杆复位,顶出系统在弹簧30的作用下先行复位,侧向抽芯机构回复到原始位置,进而主分型面B-B和次分型面A-A相继合模,完成整个成型周期。
1.3浇注系统设置
由于轿车骨架的尺寸较大,且尾部又设有需侧抽芯的灯孔,因此该模具采用多点浇口进浇,浇注系统如图3所示。图1中9个点浇口分别设于轿车骨架的前、中、后部,脱模时可自动拉断,在外壁上基本不留痕迹。采用这种小浇口增加了物料的流速,浇口前后两端有较大压力差,便于充模。小浇口处有较大阻力,熔体流过浇口时一部分能量转换为摩擦热,使熔体温度明显升高,可降低表观粘度,增加充模的流动性。另外,小浇口冻结快,可控制并缩短补料时间,有助于提高制品质量,厂缩短成型周期。经CAE优化,浇注系统完全达到预期设计的效果。

1.4脱模与抽芯机构设置
轿车骨架外形复杂、长和宽的尺寸较大、壁厚较薄,尾部有灯孔需侧抽芯,上面有较大的空缺部位,特别是门和窗中间的骨架部位尺寸相对较小。因此,该模具采用了顶杆与推件板及斜导柱联合脱模机构。为保证制品形状,顶杆前端应加工成所在制品位置的形状,并与型芯顶部曲面吻合。推件板作用于制品底部最大截面上,中心隆起的壳体则由顶杆顶出。脱模时,制品在推件板、顶杆及斜导柱的同时作用下,使尾部滑块首先分型、抽出灯孔侧型芯,进而将制品顶出主型芯而脱出。
1.5导向机构设置
该模具在动模边设有4根导柱,材料为T8 A,主要用于导向、定位、承受注塑时产生的侧向压力,并有支撑推件板脱模时重力的作用。在定模边也设有4根定距拉杆,其配合长度较长,同样能起到导向、定位和承受型腔板重力的作用。为增加导柱寿命,导套以硬度较低的黄铜制成,可使开合模更趋于平稳。
由于制一品形状复杂,包紧力较大,模具中采用了4根大顶杆、推件板和13根小顶杆联合顶出,并在顶出系统中设有4根推板导柱,可避免小顶杆顶出时产生倾斜、变形甚至折断,同时可以防止型芯垫板在高压注射成型下变形,提高了产品质量。
1.6冷却系统设置
考虑到制品冷却的均匀性及模具加工的方便,在定模型腔板上开设了两条对称且不在一个截面上的水道;在动模主型芯上开设了4条冷却水道,水道进、出口开在型芯垫板上,水的流向如图2所示。 在每条水道沿型芯的纵向开设了若千个垂直于轿车 骨架的孔,并在孔的中间插人隔板,以保证能增大 散热面积。
2、理论计算
2.1脱模力与锁模力
包紧力P可采用式(1)计算:
P=Q(Rkl一Rk2)/Rk2=EεT/Rk2(1)
式中:Q—拉应力,Pa;
RK1 、Rk2注塑件和型芯的径向尺寸,m;
E ——弹性模量,Pa;
ε——收缩率,%;
T——注塑件壁厚,m。

Q=KhPA(μcosa-sina)=31.7MN (3)
式中:地F1、F2——注塑件和型芯的当量截面积,m2
Q——脱模力,N;
K——可靠性系数,一般取2~3;
h ——型芯埋入注塑件深度,m;
A——型芯断面周长,m;
μ——摩擦系数,取0.1~0.2;
a-脱模斜度,为23°。
锁模力F=P′×s,最大注塑压力P取100MPa,注塑件和浇注系统在轴向的投影面积之和S约为1.44 m2,实际生产中F为:
F ≥P' x S=100 x 1. 44=144 MN (4)
2.2开模行程与侧抽芯尺寸
开模行程H可用式(5)计算:
H≥Hl+H2+a十10 mm=2 650 mm(5)
式中H1——注塑件脱模距离,为1200 mm;
H2——注塑件高度,为1200 mm;
a—脱出浇口所需次分型面打开距离,为240 mm。
骨架尾部有对称的单向侧抽芯孔,抽芯距离S′=156 mm,斜导柱与水平线夹角a=23°,因此得到斜导柱有效长度L为:
L=S'/sina=400 mm(6)
最小开模行程Hc=L x cosa=445 mm,因此保证了Hc<Hl+H2。2.3冷却水道尺寸
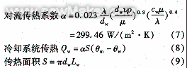
研究表明,湍流状态下的对流传热效果比层流状态下好。判断流动状态的准则是雷诺数(Re)。Re ≥4000时即为湍流状态,由此可以计算出当量直径大于等于4 mm时为湍流。本模具初定水孔直径为50.5 mm。

假设制品冷却时所有热量全由冷却系统带走,则

模具冷却水道最大长度

式中:μ——冷却水流速,实际生产中为1~1.5 m/s;
dw--冷却水道断面为非圆形时的当量直径,为0.0505 m;
p—水的密度,为998.2 kg/m3;
μ—水的粘度,为1.005 x 10 -3 Pa·S ;
Cw—水的比热容,为4. 183 kJ/ ( kg·K);
λ—热导率,为0. 599 W/(m·K)(以上均为20 ℃下的数据);
θm-模具平均温度,为60℃;
θw—冷却水平均温度,为25 ℃;
C-熔体比热容,为2. 2 kJ/(kg·K);
Pi—熔体密度,为778 .3 kg/m3;
V—一次注射量,m3。
3、结论
(1)轿车骨架的造型和模具结构全都采用虚拟方法设计,并对浇注和冷却系统进行CAE优化,使模具结构设计合理,能大大缩短开发周期,降低成本。
(2)该单型腔、针点浇口的三板式模具总体尺寸大,浇口多(可缩短充模时间)且能自动脱出,不会留下明显的痕迹。
(3)轿车骨架尾部左、右灯孔采用了斜导柱与侧滑块同在动模的分型抽芯机构,可使滑块分型抽芯与合模复位安全;采用顶杆和推件板联合脱模机构,可使脱模时受力均匀,而弹簧可保证顶出系统安全复位。
(4)定模型腔沿轿车骨架的表面开设了两条冷却水道,可保证型腔曲面均匀冷却;型芯采用了4条相互错位交叉进出水的冷却水道,每一条水道沿型芯的纵向开设了若干个垂直轿车骨架的孔,并在孔中间插人隔板,它保证了水的流速和散热面积在计算值的许可范围内,可进一步用CAE优化冷却系统获得准确的控温参数。