2025年11月14日
配天机器人2025年11月14日
TE2025年11月14日
西门子2025年11月14日
新时达2025年11月14日
蔡司工业
2025年11月13日
埃尔森
2025年11月10日
BBS
2025年11月07日
劳易测
2025年11月06日
和利时
2025年11月14日
威图
2025年11月14日
TE
2025年11月14日
KUKA
2025年11月14日
先导智能
2025年11月14日
TDK
1 引言
液力变矩器的性能优越,对外负载有良好的自适应性。牵引—制动型液力变矩器在牵引工况具有变矩的功能,在制动工况表现减速制动的性能。但是这种液力元件的最大缺点就是效率低下。为了提高其效率,采用了闭锁技术,它是指在液力变矩器的泵轮与涡轮之间,安装一个可控制的离合器,当车辆的行驶工况达到设定目标时,控制离合器将泵轮与涡轮锁成一体,液力变矩器随之变为刚性机械传动;当不满足闭锁工况时,控制闭锁离合器分离,液力变矩器处于液力传动的状态,实现液力工况和机械工况的转换。就牵引-制动型液力变矩器而言,还有另外一个制动离合器,在给出减速制动信号时,控制制动离合器的结合,将制动轮和箱体或者固定件连接在一起,实现它的减速制动功能。
液力变矩器在闭锁过程中,由于所传递扭矩的突变,势必要造成较大的冲击,因而要研究它的缓冲闭锁,其核心是设计液力变矩器闭锁控制规律,以使车辆获得良好的动力经济性[3]。实际上在液力变矩器闭锁离合器结构参数一定的条件下,摩擦扭矩取决于摩擦系数和压紧油压。摩擦系数随相对滑转速度而变化,且对于不同摩擦材料差异较大。在闭锁过程中可以有效进行控制的参数就是闭锁油压,但油压增长过快扭矩变化就越快,冲击越大;油压增长过慢又会造成动力下降较大。因此油压增长规律需要合理地控制,既需要保证良好的动力性能又要使闭锁冲击较小。目前,液力变矩器闭锁的方式几乎都是采用一个电子控制系统来控制闭锁离合器电磁阀的通断,以此来控制闭锁油压。
基于这样的分析,液压操纵和辅助系统方案必须满足如下的条件[1]:
(1) 液体的流量必须能够带走牵引―制动型液力变矩器在牵引工况和制动工况所产生的热量。
(2) 实现牵引―制动型液力变矩器内液体压力根据工况要求自动切换,即在该液力元件闭锁离合器非闭锁工况,其内部压力保持在0.65 MPa;在闭锁工况,其内部压力保持在0.33 MPa,保证闭锁离合器的闭锁。
2 液压系统原理
如图1所示,液压系统设计了带有溢流阀控制牵引—制动型液力变矩器入口压力上限的辅助支路。油液由泵压入控制管路1,经过压力调节阀KH1沿管路2进入牵引—制动型液力变矩器的循环圆,由循环圆出来进入散热器。溢流阀KH2与牵引—制动型液力变矩器并联,用以控制循环圆的入口压力,多余的油液不经过循环圆直接进入散热器。可调节压力阀接入闭锁离合器和制动离合器,牵引—制动型液力变矩器的出口接散热器,并通向润滑系统,保证了该液力元件的压力下限为0.25~0.4 MPa,排除了循环圆中出现气蚀的可能。所以该液力元件出口没有安装背压阀。在液压系统操纵支路采用两级电控液压控制接入闭锁离合器和制动离合器,满足电磁阀控制成正比的大流量特性。在结合和分离闭锁离合器时,采用电磁截止功能回路,减轻了电磁阀的负荷,增加了牵引—制动型液力变矩器满足运输车辆工况的要求,即长时间工作在闭锁状态。在牵引工况的非闭锁状态,由泵来的传动液体通过压力调节阀进入牵引—制动型液力变矩器,由于溢流阀的作用,使牵引—制动型液力变矩器的入口压力保持在0.65 MPa,满足牵引工况的要求。

3 液压系统实现工况转换
电液控制阀块通过传感器接收工作轮转速信号,当满足闭锁条件时,给出电磁铁绕组的电流,开启电磁铁ET1的指令,当闭锁离合器的可控减压阀KP2的压力到缓冲终点压力的值时,关闭电磁铁ET1,发出闭锁离合器结合的信号。管道6中压力的减小引起滑阀P32换位,使得油道1和4接通,调整溢流阀KH2的压力到0.33 MPa。在关闭电磁铁ET1和ET2的条件下,油道6和8中压力为零,阀КР2和换向阀РЗ1 、РЗ2在自身弹簧的作用下处于初始状态。油道4和5和主操纵油路接通,而油道7和泄油槽相通,闭锁离合器处于结合状态,制动离合器处于分离状态。阀КH2的压力调整到0.33 MPа。液力变矩器处于闭锁的工况。
3.1 闭锁工况到牵引工况的转换
如果泵轮的转速下降到不满足闭锁条件时,控制系统给出打开电磁铁ET1的信号。在打开(立即满电压)电磁铁ET1的条件下,阀KP2改变状态,油道5和泻油槽相通,闭锁离合器分离,牵引—制动型液力变矩器解除闭锁。同时换向阀P32换位,重新调整溢流阀KH2的压力到0.65 MPа。
3.2 减速制动工况
闭锁离合器结合状态,控制系统打开电磁铁ET2,控制开关阀PK1打开从而引起换向阀P31换位,操纵油液被送入制动离合器充油腔,使得牵引—制动型液力变矩器的制动轮停止旋转,牵引—制动型液力变矩器实现液力减速器的功能。为了保证通过循环圆的流量足够,在油道7中的压力使换向阀P32换位,重新调整溢流阀KH2的压力到0.65 MPа。
3.3 减速工况到牵引工况的转换
控制系统发出关闭电磁铁ET2和电磁铁ET1的信号,分离制动离合器和闭锁离合器。
4 牵引—制动型液力变矩器液压控制系统仿真研究
液压控制系统分析、建模基于以下三点假设[4]。
(1) 忽略整个系统的流量损失,阀芯与阀壁之间的摩擦力、粘滞力。
(2) 由于系统压力、温度均不是很高,故忽略油液的压缩性和膨胀性。
(3) 认为在整个液压系统中各个部件均为刚体,不考虑其受力、碰撞发生弹性变形,因此在子模型模式中为各个模块选取子模型时均选取刚体力学模型。
4.1 压力控制回路(压力调节阀KH1和溢流阀KH2)
压力控制回路是利用压力控制阀来控制或者调节整个液压系统或一部分的油液压力,以满足液压元件所需的压力,防止系统过载。溢流阀采用了并联弹簧结构,目的是为了实现分级调压。模型建立的难点在于处理弹簧的并联及弹簧的空行程以实现弹簧座的复位和控制油压的调节。通过柱塞来控制压力,反向作用压力作用在阀盖和柱塞之间的环形面积上。外弹簧刚度1.224 N/mm,初始压力调准为227.74N,内弹簧刚度1.211 N/mm,初始压力调准为81.69 N。
应用AMESim[5]中的Hydraulic Component Design库、Hydraulic库、Signal,Control and Observers库以及Mechanical库的子模块,在绘图模式绘制模型草图。图2是控制牵引—制动型液力变矩器入口压力的压力调节阀KH1和溢流阀KH2的AMESim模型。

为了实现在牵引工况保证牵引—制动型液力变矩器压力的要求,模型中通过一个溢流阀来限制牵引—制动型液力变矩器入口压力为0.65 MPa,从压力调节阀的结构图分析可知,操纵油液通过Φ=22.5 mm的圆形通道从外部进入压力调节阀,因此选用带有固定挡块的活塞模块BAP11。控制油液通过Φ=13 mm的圆形孔和溢流阀相连,因此选用不带圆形倒角油孔的BA0041滑阀模块。

图3 液力变矩器入口压力牵引、闭锁工况变化
图3是牵引—制动型液力变矩器入口压力变化,可以看出,牵引—制动型液力变矩器入口压力在溢流阀的控制作用下,逐渐到达0.65 MPa,并稳定在这个压力状态下,满足液力变矩减速器牵引工况的压力要求。
假定在5s时刻满足闭锁条件给出闭锁信号时,关闭电磁铁ET1,油道6中压力下降,换向阀P32在复位弹簧作用下换向处于初始位置,油路4直接和操纵油路1相连,溢流阀和调压阀共同作用使变矩器的入口压力调整为0.35MPa,满足其闭锁工况要求。
4.2 闭锁离合器压力控制回路(减压阀KP1、缓冲阀KP2)
当满足闭锁条件时,电磁铁ET1接通电流,KP1阀芯左移,操纵来油通过油路6进入KP2左腔,推动KP2阀芯向右移动, 缓冲压力达到缓冲终点压力值1.1 MPa时,关闭电磁铁ET1,发出闭锁离合器信号,阀芯在回位弹簧作用下迅速左移,操纵油路1和闭锁离合器油路5接通,牵引—制动型液力变矩器处于闭锁的工况。图4为闭锁离合器压力控制回路AMESim模型。

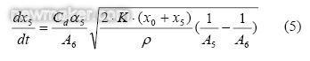
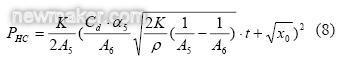
在缓冲升压阶段的压力调节过程中,缓冲阀芯的受力平衡方程为

式中 PHC——缓冲压力
K ——缓冲弹簧刚度
A5——缓冲阀芯右端的承压面积
x0 ——缓冲弹簧预压缩量
x5 ——缓冲阀芯位移量
缓冲阀芯的受力平衡方程为

式中 P6 ——作用在缓冲阀芯左端压力
A6 ——缓冲阀芯左端的承压面积
经过节流孔的流量方程为

式中 αs ——节流孔的流通面积
Q ——通过节流孔的流量
Cd ——流量系数
ρ——油液密度
流经节流孔的油液具有下列流量平衡方程

根据式(1)~(4),消去中间变量后可以得到

进一步整理(5)式,可以得到

对(6)式进行积分,可以得到缓冲时间的计算表达式

将(1)式和(7)式联立可以得到缓冲压力随缓冲时间的变化规律

当缓冲阀的各个参数确定以后,所控制的油压特性也就随之确定。若需要不同的油压特性时,需要调整局部的结构参数。在实际应用中,可调解缓冲阀的参数有节流孔的流通面积、缓冲弹簧的预压缩量x0、调压螺栓的位移以及弹簧刚度,以便得到所需要的“缓冲时间”、“缓冲起点压力”和“缓冲终点压力”。
仿真模型中系统压力设为1.6 MPa,电磁减压阀KP1弹簧初始压力14.33 N,弹簧刚度1.19 N/mm,活塞直径15 mm;缓冲阀弹簧初始压力设定为111.87 N,弹簧刚度1.205N/mm,活塞直径18 mm。仿真时间2 s,时间间隔0.01 s。 可以得到图5所示的闭锁离合器充油腔压力闭锁过程的变化,闭锁压力有一个缓冲的过程。闭锁充油时间大约为1 s,而缓冲时间大约为0.5 s,整个充油过程分为建压过程,大约0.8 MPa,时间0.25 s;压力缓冲增长过程,大约0.8 MPa~1.2 MPa,时间0.65 ;和压力快速增长过程,1.2 MPa~1.6MPa,时间大约0.1 s。

4.3 制动离合器换向回路(两位三通阀P31和开关球阀PK1)
方向控制回路是控制执行元件运动方向的回路。通常情况下采用二位或三位换向阀可使执行元件换向。两位三通换向阀作为控制牵引—制动型液力变矩器闭锁离合器和制动离合器的主要部件,设计要求其响应速度要迅速准确,而且在充油过程中绝大多数时间内要处于最大开度。在AMESim的Sketch中搭建控制制动离合器的电磁开关球阀和两位三通的模型如图6所示,操纵压力1.6 MPa,两位三通阀弹簧刚度1.301 N/mm,弹簧初始压力为123.39 N,可控球阀PK1回位弹簧刚度1.283 N/mm,弹簧初始压力不小于47 N,背压0.1 MPa。

图7为制动离合器充油腔快速充油油压变化过程。

给出制动信号之前,由于两位三通阀PK1弹簧压力的作用,切断了操纵油路和制动油路7,制动离合器充油腔直接和油箱连接,压力为零;给出制动信号之后,操纵压力油通过油路8进入两位三通阀P31,推动阀芯左移,实现换位, 换向阀的换位,切断了油路7和油箱的连接,使得操纵油路和制动离合器充油腔直接连接,实现对制动离合器充油腔的快速充油,经过大约0.2 s,油压快速上升到系统压力1.6 MPa。
5 结论
基于高级工程系统仿真建模环境AMESim,建立了牵引—制动型液力变矩器电控液压系统的各个控制回路的仿真模型,通过仿真研究,模拟了液压系统实际工作的过程,分析了系统的工作特性,通过台架试验,与设计性能要求对比,验证了模型的合理性。