2025年11月14日
配天机器人2025年11月14日
TE2025年11月14日
西门子2025年11月14日
新时达2025年11月14日
蔡司工业
2025年11月13日
埃尔森
2025年11月10日
BBS
2025年11月07日
劳易测
2025年11月06日
和利时
2025年11月14日
威图
2025年11月14日
TE
2025年11月14日
KUKA
2025年11月14日
先导智能
2025年11月14日
TDK
在根据实际行驶状况调节驱动轮转矩时,传统的驱动方式往往存在着局限性。采用电动轮独立驱动方式的电动汽车具有广阔的发展前景。而采用四电动轮独立驱动方式,在理论上就可以依照变速、转向等不同情况直接控制各轮的输出转矩,既可以避免部分车轮因转矩过大而对地滑转,又能够根据需求提供足够的驱动力。因此,电动轮独立驱动方式在操控性和驱动效率等方面较传统驱动方式具有显著的优势。
目前该领域已有一些积极的研究。Yoichi Ho2ri等设计并制造了由四电动轮独立驱动的电动汽车“UOT ElectricMarch II”,并在此车上试验了防抱制动系统(ABS)和牵引控制系统( TCS)的应用。文献将滑模变结构的优化器应用到电动轮驱动电动汽车的ABS和TCS的最佳滑移率寻优控制中,设计了基于固定滑移率控制的ABS和TCS。文献设计并试验了四电动轮独立驱动的电动汽车的电子差速系统。然而,对于变速或转向情况下四电动轮独立驱动时各轮转矩需求变化的研究尚不多见。作者以建模仿真这一简便有效的方法考察采用四电动轮独立驱动方式的电动汽车在变速或转向时各轮所需输出转矩变化的详细情况。
1 仿真模型的建立
电动汽车的动力学模型在自然坐标系中建立,可以使用以时间为变量的速率函数v (t)和半径函数R (t)来描述xoy平面坐标系中车辆的行驶轨迹和运动状况。在文中规定向左转向时R 为正,向右转向时R 为负,R 的绝对值表征转向半径大小。直线行驶时R 趋向于无穷大。这样就消除了在绝对坐标系中描述车辆运动状况时所用的横摆角速度这一参量,使模型更加简洁。
建模过程中对环境及车辆特性做如下假设:路面水平,轮胎宽度不计且胎体刚性,四轮的转矩均可独立控制;前后轮均可转向,行进过程中无对地滑移,使转向半径通过整车质心;整车质心在中轴线上;不考虑俯仰和侧倾,无悬架作用;除前进方向上的空气阻力外,忽略其它空气动力学影响因素。
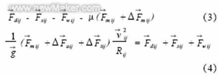
当车辆加速或减速时,依据力矩平衡原理,各轮的载荷会有变化。根据上述假设,在与整车质心处速度平行的方向上,可列出下面表达式( i = 1代表前轮,i = 2代表后轮,j = 1代表左轮,j = 2代表右轮)
(1)

在与整车质心处速度垂直的方向上存在转向时,可以得到

式中ΔF→tij为因转向而造成的各轮载荷变化量;l为轮距;R为车辆质心处的转向半径。
各轮在前进方向和垂直于前进方向上的受力可以表达为



2 仿真试验及结果分析
文中所用的车辆模型主要参数如下:迎风面积118m2;风阻系数013;空气阻力等效作用点与地面间距离018m;整车质量113 t;整车质心与地面间距离016m;整车质心与前轴的水平距离112m;整车质心与后轴的水平距离111m;前轮距和后轮距均为1175m;侧偏系数为2 ×105。
仿真试验共分3项。首先,设定车辆在15 s内从静止开始沿直线加速到20m / s (72km /h) ,然后减速,试验中整车速率、单侧前后轮功率和转矩曲线如图1~图3所示。

图1 速率曲线

图2 单侧电动轮功率曲线

图3 单侧电动轮转矩曲线
分析图2 与图3 中曲线,可以看出: 车辆加速时,功率与转矩的变化规律相似,但出现功率峰值的时刻比出现转矩峰值的时刻要迟。加速时后轮承担了更大的输出转矩,而减速时前轮的负转矩在数值上略大于后轮。虽然它们的转矩几乎同时达到最大值,变化趋势也基本一致,但是在变速过程中后轮转矩与前轮转矩的比例一直在变化。转矩数值越大,这一比例也越大。在直线变速行驶时,由加速度造成的各轮载荷变化直接影响着前后轮的功率和转矩差异。
在第2项试验中,设定车辆在保持速率为15m / s( 54km /h) 不变的情况下向右转向,在315 ~2115 s内转向半径由50m 渐变为20m。其转向半径、各轮功率和转矩曲线依次如图4~图6所示。

图4 转向半径曲线

图5 电动轮功率曲线

图6 电动轮转矩曲线
图5与图6表明,转向半径较小时右侧和左侧轮的功率、转矩相差近10倍,且功率与转矩的变化规律基本一致。左侧轮所需的转矩在转向半径减小时出现较大幅度的增长,而且左前轮和左后轮转矩的比值也会增加。同时,右侧轮的转矩却都有所降低并且趋于相等。四电动轮的左侧两轮中载荷较大者所需转矩最大,载荷小者略次之,右侧两轮中载荷较小者所需转矩最小。匀速变半径转向时,左右侧轮功率和转矩差异主要是由向心加速度造成的。
最后结合第1项试验中v和第2项试验中R 的变化,假设车辆向左变速变半径转向,其各轮功率、转矩曲线和行驶轨迹依次在图7~图9中示出。图9中从O开始行驶起计时,车辆每隔5 s抵达的位置依次标为A至E点。

图7 电动轮功率曲线

图8 电动轮转矩曲线

图9 车辆行驶轨迹
从图7~图9中可以看到:开始加速并转向时四轮功率和转矩的差异都不大。从第5 s起当转向半径开始变小且继续加速时,右侧两轮转矩继续增加,而左侧两轮的转矩却已经达到其最大值,随后开始下降。右侧两轮的转矩虽然约10 s时才先后增加到各自的最大值,但在从第5 s到第20 s的时间内一直都显著地大于左侧轮。在20 s之后,随着车辆进一步减速和转向半径稳定于20m,四轮的转矩均变为负值,且右侧轮的转矩变化趋势比左侧轮更显著。
显然,在较复杂的转向过程中依照固定的比例分配四电动轮的转矩是不理想的,需要根据加减速和转向相结合的情况下各轮的实际需求进行转矩控制。
3 结论
采用四电动轮独立驱动的电动汽车在行驶中各轮所需的转矩常常会有较大的差异,变化的比例也不一样。因此,根据实际需要控制和调整各轮输出转矩,既可避免电动轮输出转矩过大导致的滑转,又能防止因输出转矩不足而造成车辆在变速或转向时无法达到驾驶员的要求,有利于提高操控性能。