2025年11月14日
配天机器人2025年11月14日
TE2025年11月14日
西门子2025年11月14日
新时达2025年11月14日
蔡司工业
2025年11月13日
埃尔森
2025年11月10日
BBS
2025年11月07日
劳易测
2025年11月06日
和利时
2025年11月14日
威图
2025年11月14日
TE
2025年11月14日
KUKA
2025年11月14日
先导智能
2025年11月14日
TDK
针对大型曲面类零件加工精度要求高、合格率低的问题,经研究软件核心算法,通过采用五次多项式的方法来规划零件的调姿方式,最终解决了因零件定位精度低而导致的加工产品合格率低的难题。
1 序言
大型曲面类零件(见图1)自动调姿是零件生产过程中非常重要的环节,调姿效果会直接影响产品质量,从而影响到产品的使用寿命及安全性。目前,国内大型曲面类零件的调姿还存在很多技术难题,特别是飞机零部件尺寸大、结构精密复杂等因素,给零件调姿加工带来很大难度。传统调姿技术较难保证精度,是一个难以突破的瓶颈[1-3]。针对上述大型零件调姿所存在的问题,综合考虑各种方法,最终采用五次多项式的方法来规划垂直安定面的调姿轨迹,不仅提高了零件定位精度,而且提高了生产效率和合格率。

图1 大型曲面类零件
2 测量数据采集
测量数据采集采用激光跟踪仪自动测量。激光跟踪仪可以基于设备供应商所提供的通信接口程序来实现工控机与跟踪仪之间的通信问题,实现激光跟踪仪自动测量功能。通信连接建立之后,设置测量的相关参数,包括环境参数、测量方式和数据采集频率等。
在零件调姿过程中需要测量的调姿基准点较多,通过人工引光的方式进行测量工作量大、效率低,因此选择采用基于三维模型的激光跟踪仪自动跟踪测量方法。
首测时采用人工测量方式,初次调姿完成后基于零件的数字模型获取调姿基准点在全机坐标系下的理论坐标,然后利用激光跟踪仪提供的二次开发接口,驱动激光跟踪仪在空间搜索区域内自动搜索靶球,实现基准点自动复测。
输入的测量数据包括工艺基准点理论数据、下架数据、测量数据以及定位器球心的测量数据。数据采用最基本的txt格式,通过正则表达式找到特定符号之间的数据并写入相应的编辑框中。
3 软件核心算法
3.1 位姿正解算法
位姿正解是根据零件上工艺基准点的数据来求解其位姿参数,包括3个旋转角度和3个坐标平移,分别用α、β、γ和x、y、z表示。
位姿正解还需要设定一个基准位姿,即位姿参数皆为零点的位姿。根据调姿的要求,将工艺基准点的坐标为下架测量数据时的位姿设为基准,在调姿过程中再根据工艺基准点的当前测量数据和基准位姿进行对比,求解出当前的位姿参数。
位姿正解的实质就是位姿拟合,目前常用的方法有SVD法、三点法和最小二乘法,对比见表1。
表1 位姿拟合常用方法对比
综合考虑3种方法的优缺点后,决定采用最小二乘法结合三点法来求解零件的位姿参数,将三点法的计算结果作为最小二乘法的初值,既能保证计算精度,又能提高速度。
3.2 位姿反解算法
位姿反解算法就是已知位姿变换参数(α,β,γ,x,y,z),求解出垂直安定面上指定点(P)的坐标变化,即

其中


P0为初始状态的坐标。
3.3 调姿轨迹规划方法
调姿轨迹规划就是根据垂直安定面的初始位姿(设为U0)和目标位姿(设为Ue)求解每个定位器的运动轨迹,在调姿过程中定位器与垂直安定面连接的球铰中心相对于垂直安定面始终保持位置不变,因此定位器的运动轨迹即是垂直安定面上球铰中心的运动轨迹。球铰中心在运动轨迹中某个特定状态下的坐标能够通过该状态下垂直安定面的位姿参数求解出来,因此调姿轨迹规划能够通过求解实时位姿参数来实现[4,5]。目前常用多项式方法来规划轨迹,如直线轨迹、三次多项式轨迹和五次多项式轨迹等。
(1)直线轨迹 对于直线运动轨迹可以很容易求解出其实时位姿参数(设为Ut),定义△U=Ut-U0,结束时间为te,则

计算得到的Ut即为位姿变换参数(α,β,γ,x,y,z)。
经计算,直线轨迹规划方法规划出的运动轨迹比较简单,但在初始位姿时存在加速度和速度突变,结果如图2所示。由于运动不够稳定,易造成垂直安定面变形,因此不能采用直线规划方法。

a)速度曲线
b)加速度曲线
图2 直线轨迹规划方法结果
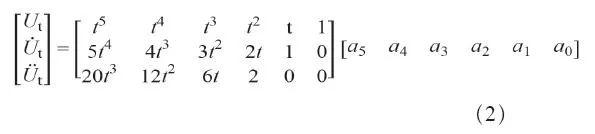
(2)五次多项式轨迹 采用五次多项式拟合零件的位姿参数,即

为了满足初始和结束时速度和加速度都为0,则位姿、速度和加速度可表示为

考虑位姿、速度和加速度的边界约束条件,开始时,t=0,则

结束时t=te,则

联立式(2)~式(4),可得

五次多项式轨迹规划方法虽然比较复杂,但运动速度变化平滑,加速度变化缓慢,如图3所示。零件的运行较为平稳,不会造成变形或损坏,因此采用五次多项式的方法来规划零件的调姿轨迹[6,7]。

a)速度曲线
b)加速度曲线
图3 五次多项式轨迹规划方法结果
4 坐标系快速转换方法
垂直安定面装配面精加工是为了使零件满足飞机全机总体装配协调性要求,在全机坐标系下对该零件进行定位,从而保证加工的可靠性,因此在调姿过程中,计算与仿真所使用的数据都是基于全机坐标系的,而在执行时需要将计算结果转换为基于机床坐标系的,以便机床执行。另外为方便操作人员监控调姿和加工的过程,还需要将机床上显示的过程数据转换到全机坐标系下,因此需要建立一种快速的坐标转换算法,实现两种坐标系下数据的相互转换[8]。
坐标系转换采用三点法,选择两个坐标系下的3个公共点,根据3个点在两个坐标系下的不同坐标值求解出二者的变换关系。具体实现的方法为:选取定位器与垂直安定面的铰接球心(P1、P2、P3)作为公共点,这3个点在机床坐标系下的坐标值可分别直接读出,设为M1、M2、M3;在全机坐标系下的坐标值通过测量可以得到,分别设为N1、N2、N3(见图4);计算时首先根据3个点在不同坐标系下的坐标构建各自坐标系下的单位正交基,根据单位正交基即可直接计算出旋转矩阵R;然后再任意带入一个点在两个坐标系下的坐标,即可求出平移矩阵T。具体计算步骤如下。


图4 两个坐标系下的3个公共点
这样就求出了全机坐标系向机床坐标系转换的关系,反之同理。
5 结束语
本文通过分析大型曲面零件的结构和加工工艺,解决了因零件定位精度低而导致加工合格率低的难题。主要结论包括:①采集测量数据是采用基于三维模型的激光跟踪仪自动跟踪测量的方法。②零件位姿拟合采用最小二乘法结合三点法,并求解了零件的位姿参数。③零件调姿轨迹选用五次多项式方法进行规划。④找出了坐标系的快速转换方法。
多次试验表明,采用五次多项式轨迹规划方法进行大型曲面零件的姿态调整,操作轻便平稳、精度高,满足了用户对垂直安定面的精加工要求。
参考文献:
[1] 高航,宋强,刘国,等. 航空发动机整机数控安装多轴调姿方法及其应用[J]. 2017(11):19-20.
[2] 季青松,陈军,范斌,等. 大型飞机自动化装配技术的应用与发展[J]. 航空制造技术,2014(Z1):75-78.
[3] 程燕,李树军,秦现生,等. 大部件调姿平台的开发与设计[J]. 机械制造,2015(8):42-44.
[4] 范红,仲秋,许兴旺,等. 垂直安定面专用机床的设计[J]. 组合机床与自动化加工技术,2018(9):129-132.
[5] 徐源,沈建新. 基于OpenGL的翼身调姿对接仿真系统开发[J]. 计算机系统应用,2017,26(4):260-264.
[6] 马志强,李珑果,邢宏文,等. 3-PPPS并联机翼调姿机构运动学解析正解[J]. 计算机集成制造系统,2015,21(2):449-453.
[7] 郭志敏,蒋君侠,柯映林. 基于POGO柱三点支撑的飞机大部件调姿方法[J]. 航空学报,2009,30(7):1320-1321.
[8] 朱永国,黄翔,方伟,等. 机身自动调姿方法及误差分析[J]. 南京航空航天大学学报,2011,43(2):229-234.
本文发表于《金属加工(冷加工)》2022年第9期78~81页,作者:江苏省盐城技师学院 范红、陆建军,江苏恒力组合机床有限公司 仲秋、许兴旺,原标题:《大型曲面类零件调姿轨迹设计》。